إرشادات مقترحات البحث معلومات خط الزمن الفهارس الخرائط الصور الوثائق الأقسام

مقاتل من الصحراء
Home Page / الأقســام / موضوعات علمية / الرادار




أضخم رادار أمريكي
نظام "سمبلين"
المركبة سكاوت
الرادار APG-66
الرادار APG-66 (V)-2A
الرادار ARTHUR
الرادار COBRA
الرادار Cobra Dane
الرادار Hen House
الرادار RDM
الرادار Sea Giraffe AMB
الرادار SMART-L
الرادار TPQ-37
الرادار TPS-70
الرادار YJ-14
جهاز الرادار AN/FPS-6
رادار متعدد المهام
رادار محمول جواً
رادار مراقبة الصواريخ البالسيتية
رادار البحث والمراقبة
رادار دوبلر

هوائي قطع مكافئ
موقع نقطة التقابل
مبين الوضع الأفقي
مبين طرز A
نبضات الإشعال
مجموعة نماذج إشعاعية
مساحة التمييز
إشارة الهدف والضوضاء
مسقط مساحة خالية التمييز
النموذج المروحي والنماذج المتعددة
النموذج الإشعاعي
النموذج الإشعاعي القلمي
الهوائي المصطنع
الهوائي المصفوف
الوضع الزاوي للهدف
الإحداثيات الثلاثية للهدف
المقطع الراداري
الانتشار غير الطبيعي
الانعكاس الأرضي
انتشار الموجات السماوية
التغطية الرأسية
التفتيش القلمي
الرادار الخارق للأرض
الرسم الوظائفي العام للرادار
العناصر الرئيسية للمعدل
العلاقة الزمنية لتردد الإيقاع
توهين الموجات الملليمترية
تأثير الانعكاس
تمييز إشارة التداخل
تركيب الماجنترون
تركيب صمام الموجة المسافرة
تغير تردد المرسل
تقدير المسافة
جهاز استقبال
رادار موجة مستمرة
رادار اكتشاف الأهداف المتحركة
رادار تخصيص الأهداف
رادار دوبلر نبضي
رادار دوبلر محمول جوا
رسم لرادار موجة مستمر
صور بسيطة لجهاز الرادار
زاوية في المستوى الأفقي
عمل الصمام
ظاهرة المسارات المتعددة
ظاهرة الفصوص الإشعاعية




المبحث الثالث

المبحث الثالث

أنواع الرادارات وخواصّها

أولاً: الرادار ثنائي الأبعاد Radar 2- D

أكثر أنواع أجهزة الرادار المستخدمة، هو رادار البحث الأفقي ثنائي الأبعاد. (اُنظر جدول أنواع واستخدامات بعض الرادارات)؛ بصفة عامة تستخدم هذه الرادارات نموذجاً إشعاعيّاً مروحي الشكل في المستوى الرأسي، وتحركه أفقيّاً لتغطية الفراغ المحيط بالرادار، سرعة الدوران في المستوى الأفقي تتراوح من 5 إلى 15 دورة في الدقيقة، وتعمل معظمها في الحيزات الترددية UHF, L , S.

استمر استخدام الرادار ثنائي الأبعاد كرادار رئيسي لسنوات طويلة، ولكن بدأت عمليات استبداله بالرادارات ثلاثية الأبعاد radars 3-D، وخاصة في الاستخدامات العسكرية التي تحتاج إلى توفير معلومات دقيقة عن ارتفاع الأهداف، وخاصة في المواقف ذات الكثافة العالية للحركة الجويةDense air traffic. استخدام رادار تقليدي لقياس الارتفاع ضمن شبكة الإنذار والكشف ثنائية الأبعاد، لا يكفي متطلبات الحرب الجوية الحديثة، حيث إن معدل معلومات الارتفاع من هذا الرادار، لا تتناسب مع كثافة استخدام الطائرات.

في مجال المراقبة الجوية المدنية، تستخدم أحياناً منارة رادارية ثنائية الأبعاد Radar beacon ليستقبل الرادار معلومات الارتفاع، المرسلة من أجهزة الطائرة تحت المراقبة، ليستكمل بها المعلومات المتوافرة منه كرادار ثنائي، ولكن هذا الحل يستلزم أن تكون الطائرة المدنية، مجهزة بمجيب يرد على نبضات المنارة، بمعلومات الارتفاع.

أحد المهام الرئيسة لرادارات البحث والمراقبة ـ ثنائية وثلاثية الأبعاد ـ هي تحديد سرعة طيران الهدف بالنسبة لسطح الأرض، وتستخدم هذه المعلومة المهمة في المجال العسكري لتمييز الأهداف، وتقييم التهديد، وتخصيص السلاح المناسب للتعامل مع الهدف، والتنبؤ بالموقع المستقبلي للهدف، وتقييم نجاح عملية التدمير. أما في المجال المدني، فهي تستخدم في التحكم في الحركة الجوية، والتحذير من احتمالات الحوادث، والتحكم في أعمال الاقتراب السليم.

المواصفات الفنية للرادارات العسكرية تكون أكثر تعقيداً، نظراً لتعاملها مع طائرات لها سرعة أعلى بكثير من سرعة طيران الطائرات المدنية، قد تصل إلى أكثر من ضعف سرعة الصوت، ولها قدرات عالية على المناورات الحادة، بالإضافة إلى رغبة قائد الطائرة المدنية على التعاون مع أجهزة المراقبة الأرضية، عكس تماماً ما يحاوله قائد الطائرة العسكرية المهاجمة.

يعتمد تحديد معدل البحث، أو معدل المسح Scan rate، للرادار الثنائي أو الثلاثي على عاملين رئيسين، أولهما الوقت المتيسر لتحديد مسار دقيق للهدف، وثانيهما عدد النبضات المرتدة من الهدف التي تكفي لتحديد موقع الهدف بدقة أثناء دورة مسح واحدة.

يتأثر العامل الأول بجميع مواصفات نظام الكشف الراداري بالكامل، بما في ذلك خواص حركة الهدف ذاته من حجم، وأبعاد، وسرعة، وعجلة تسارعية، واتجاه حركة، ومقدرة على المناورة.

العامل الثاني يرتبط أساساً بنسبة الإشارة المفيدة، إلى إشارات التداخل المختلفة، عند مستقبل جهاز الرادارSignal - to - noise ratio ، وكذلك بإمكانات إلغاء الإشارات القوية المرتدة من الظواهر الأرضية، الجبال -التلال ـ المنشآت ـ الأشجار، ومن الظواهر المناخية، الأمطار ـ البرد ـ الجليد ـ العواصف الرملية …، ولهذا الغرض تزود أجهزة الرادار بدوائر خاصة، يطلق عليها دوائر "اكتشاف الأهداف المتحركة" Moving Target Detector، ويعرف بالاختصار MTD وبدون هذه الدوائر يستحيل عمل أجهزة الرادار في العديد من المناطق الحيوية، وخاصة رادارات الطيران المدني التي عادة ما تعمل على خطوط اقتراب داخل المدن، وتحيط بها العديد من المنشآت.

تحتاج دائرة اكتشاف الأهداف المتحركة إلى 16 ـ20 نبضة مرتدة من الهدف في كل دورة بحث، لتؤدي وظيفتها بنجاح؛ هذا العدد الكبير نسبيّاً من النبضات لا يتوافق مع أسلوب عمل الرادارات ثلاثية الأبعاد، التي ترصد الفراغ رأسيّاً، باستخدام شعاع يتحرك إلكترونيّاً، لكل وضع زاوية أفقية، يتحرك شعاع دقيق رأسيّاً ليغطي القطاع الرأسي من خلال 5 ـ 19 وضعية مختلفة؛ أما بالنسبة للرادارات الثلاثية التي تستخدم مجموعة من الأشعة الرأسية مختلفة الزوايا الرأسية، لتغطية قطاع العمل الرأسي في الوقت نفسه، فيجب أن تزود بدائرة كاملة لاكتشاف الأهداف المتحركة للعمل مع كل شعاع رأسي، وهذا يعني ارتفاع تكلفة جهاز الرادار وزيادة حجمه.

الفكرة الأساسية لعمل دائرة اكتشاف الأهداف المتحركة، هي تقسيم منطقة مسؤولية جهاز الرادار Radar coverage، إلى عدد كبير من الخلايا الصغيرة، إحداثيات هذه الخلايا هي: مدى الهدف - زاويته الأفقية - سرعته، وانتخاب الأهداف التي تقع في خلايا معينة، ومقارنتها بالأهداف، وإشارات التداخل، في الخلابة التي تجاورها[1].

ثانياً: الرادار ثلاثي الأبعاد

يقوم الرادار ثلاثي الأبعاد، بتحديد وقياس ارتفاع الهدف، إضافة إلى زاويته الأفقية، وبعده المباشر عن جهاز الرادار  Slant range(اُنظر شكل الإحداثيات الثلاثية للهدف)، حيث R المدى المباشرSlant range، و b الزاوية الأفقية، و a الزاوية الرأسية، وh ارتفاع الهدف؛ ويمكن حساب ارتفاع الهدف h باستخدام المدى المباشر وزاوية الارتفاع كالآتي:

h = R sina

يتم حاليّاً، في معظم الاستخدامات العسكرية، إحلال الرادارات ثلاثية الأبعاد محل الرادارات ثنائية الأبعاد، نظراً لضرورة توافر معلومة ارتفاع الهدف، لنجاح التعامل معه؛ ويزيد مدى الكشف لهذه الرادارات عادة على 500 كم. (اُنظر جدول أنواع واستخدامات بعض الرادارات)

يُغطَّى قطاع العمل أفقيّاً بإدارة الهوائيات ميكانيكيّاً خلال قطاع العمل، الذي يصل في أغلب الأحوال إلى 360°. أما قطاع العمل الرأسي، فيُغطَّى إما بواسطة عدد من النماذج الإشعاعية الرأسية في الوقت نفسه، أو بنموذج إشعاعي ضيق يتحرك لتغطية القطاع الرأسي. الرادارات الحديثة، تستخدم الهوائيات المصفوفة المسطحة، ذات الفصوص الجانبية منخفضة المستوى، وتتراوح سرعة دوران الهوائي في المستوى الأفقي من 5 إلى 6 دورات في الدقيقة الواحدة.

توجد تقنيتان رئيستان لقياس ارتفاع الأهداف:

1. نموذج إشعاعي ضيق (اُنظر شكل التفتيش القلمي) من النوع الذي يطلق عليه "شعاع قلمي"، يغطي القطاع الرأسي بالحركة الإلكترونية إلى أعلى وإلى أسفل، خلال قطاع المسئولية، ويمكن تحريك النموذج الإشعاعي حركة غير منتظمة ارتباطا بحركة الهدف.

2. استخدام مجموعة من النماذج الإشعاعية، (اُنظر شكل مجموعة نماذج إشعاعية)، تغطي قطاع العمل الرأسي في الوقت نفسه، وتتحرك معاً أفقيّاً لتغطية قطاع المسئولية بالكامل.

لكل نوع من أنواع الرادارات ثلاثية الأبعاد مزايا وعيوب، وفيما يلي وصف موجز للمزايا والعيوب:

1. الرادار ثلاثي الأبعاد:

الذي يستخدم نموذجاً إشعاعيّاً مروحي الشكل لإرساله، وله زاوية ارتفاع رأسية تصل حتى "20 ـ30" درجة، (اُنظر شكل النموذج المروحي والنماذج المتعددة)، ويستقبل من خلال "6-12" نموذجاً إشعاعيّاً رأسيّاً متداخلاً، تعمل في الوقت نفسه؛ تنتج النماذج المتعددة من هوائي الاستقبال، بوضع مجموعة من المشعات البوقية horn radiators المثبتة أمام العاكس الرئيس للهوائي، مثل حالة الرادار AN/TPS – 43E، أو تكوين الأشعة بطريقة مرتبطة بالتردد، وزاوية الطور للموجات المرسلة مثل رادار Martello، أو إنتاجها بطريقة رقمية كما في الرادارات الحديثة. في جميع الأحوال يتم قياس زاوية ارتفاع الهدف بمقارنة سعة الإشارات المستقبلة من خلال النماذج الإشعاعية المتجاورة.

أ. أهم مميزات هذا الأسلوب هي

(1) معدل عال لتدفق المعلومات عن الأهداف؛ لأن النماذج الإشعاعية تغطي قطاع المسؤولية بالكامل طوال الوقت.

(2) هذا الأسلوب يناسب استخدام دوائر اكتشاف الأهداف المتحركة MTD.

(3) يتم تصميم دائرة MTD منفصلة لكل نموذج إشعاعي على حدة، لتتواءم مع الأهداف الثابتة، والتداخلات غير المرغوب فيها، المؤثرة على كل إشعاع على حدة.

(4) لا يؤثر اختلاف مستوى الطاقة المرتدة من الهدف، على دقة قياس الارتفاع.

ب. أهم عيوب هذا الأسلوب هي

(1) صعوبة تصميم نماذج إشعاعية ذات أشكال محددة من عاكس هوائي واحد.

(2) مستوى عالي للفصوص الجانبية مما يعرض الرادار للتأثر نتيجة للتداخلات الطبيعة، أو الاصطناعية، الإعاقة الإلكترونية.

(3) ارتباط دقة قياس الارتفاع بثبات شكل النماذج الإشعاعية وثبات اتجاه مركزها.

(4) التكلفة العالية.

(5) فقد الكثير من الطاقة نظراً لتوزيع طاقة الإرسال على حيز زاوي متسع طوال الوقت، لا يرتبط مع مواقع وجود الأهداف في هذا القطاع.

2. الرادار ثلاثي الأبعاد

الذي يستخدم نموذجاً إشعاعيّاً في المستوى الرأسي ذو زاوية دقيقة، ويتحرك إلكترونيّاً ليغطي قطاع المسئولية الرأسي، بينما الهوائي ككل يدور أفقيّاً، ليغطي قطاع المسؤولية الأفقي. التحكم في الشعاع الرأسي يتم إما عن طريق التحكم في زاوية الطور للموجة الرادارية، مثل الرادار AN/TPS – 59 أو ترددها مثل الرادار AN/TPS –32، تقدير زاوية ارتفاع الهدف بتقدير الزاوية التي تتجه إليها قمة الشعاع.

أ. أهم مميزات هذا الأسلوب

(1) أفضل استخدام لكسب الهوائي، وبالتالي للقدرة المتاحة.

(2) لا تأثير للانعكاسات من الظواهر الأرضية، نظراً لانخفاض مستوى الفصوص الجانبية للنموذج الإشعاعي.

(3) انخفاض المطالب الفنية لجهاز الاستقبال، الأمر الذي يقلل التكلفة.

(4) دقة عالية في قياس زاوية الارتفاع، ومن ثم تقدير ارتفاع الهدف.

ب. أهم العيوب

(1) تحريك الهوائي بناء على التردد يعرض جهاز الرادار لإمكانية مهاجمته بالإعاقة الإلكترونية المركزة بالغة التأثير Spot Jamming.

(2) هذا الأسلوب يجعل جهاز الرادار حسّاساً لتغير قيمة الإشارة المرتدة من الهدف.

ثالثاً: رادار اكتشاف الأهداف المتحركة

وظيفيا، هذه النوعية من الرادارات تختص باكتشاف الأهداف، وتمييزها وسط خلفيات من الانعكاسات غير المرغوب فيها، والتي تعمل على إخفاء الهدف، والفكرة المستخدمة لتحقيق ذلك هي استغلال اختلاف تردد الإشارة المرتدة نتيجة تأثير دوبلر، الذي يحدث عندما تكون هناك حركة قطرية نسبية بين الهدف، والأجسام العاكسة الأخرى.

هناك بعض الاعتبارات، التي تميز رادارات اكتشاف الأهداف المتحركة، أولها أنها تستخدم تردداً تكراريّاً للنبضات منخفض نسبيّاً، حتى لا يحدث أي خطأ عند حساب المدى[2]، وثاني هذه الاعتبارات حدوث ما يطلق عليه ظاهرة السرعة العمياء blind speeds، وهى سرعة الأهداف التي تقع بالقرب من السرعة القطرية للأهداف التي يناظر التردد المرتد منها، مضاعفات تردد تكرار النبضات، الأهداف ذات السرعة العمياء لا تظهر على شاشة الرادار، مع كونها أهدافاً متحركة وليست ثابتة.

تعتمد كفاءة أداء رادارات اكتشاف الأهداف المتحركة، على ثبات مواصفات جهاز الرادار من نبضة إلى أخرى Pulse - to - pulse stability وأهم المواصفات المؤثرة على الثبات، ومن ثم الأداء هي:

1. ثبات تردد المرسل     ft

2. ثبات تردد الاستقبال   fr

3. ثبات عرض النبضة   t

4.  ثبات زمن التكرار    T

5. ثبات سعة النبضات A

6. ثبات زاوية الطور D

رابعاً: رادار الموجة المستمرة CW Radars

1. تأثير "دوبلر"

يكتشف الرادار وجود الأهداف، ويحدد مواقعها في الفضاء بإرسال طاقة كهرومغناطيسية، ويقوم بمراقبة صدى أو انعكاس هذه الطاقة. الرادار النبضي يرسل دفعات من الطاقة الكهرومغناطيسية في أزمنة قليلة جدّاً "نبضات"، ثم ينتظر انعكاسها من على أسطح الأهداف، ويحدد الصدى وجود الهدف، وتحدد لحظة استقبال الصدى مدى الهدف؛ ويتم الفصل بين عملية إرسال الطاقة الكبيرة، واستقبال الطاقة الواهية المرتدة من الهدف بالتنسيق الزمني بين فترات الإرسال وفترات الاستقبال.

إذا أمكن فصل الإشارة المستقبلة الضعيفة عن الإشارة المرسلة القوية، فلا داعي لاستخدام الأسلوب النبضي، ويمكن استخدام الإرسال المستمر؛ أي أن مرسل الرادار يرسل موجات كهرومغناطيسية مستمرة Continuous Wave CW، وتعتمد عملية الفصل على التغير الذي يطرأ على الموجة نتيجة وجود سرعة نسبية بين الهدف، وجهاز الرادار، ويطلق عليه تأثير دوبلر.

من المعلوم في مجال البصريات والصوتيات، أنه إذا كان أي من مصدر الذبذبات أو مركز مراقبة الذبذبات في حالة حركة، يحدث تغير في تردد الذبذبات الأصلي، والشيء نفسه يحدث بالنسبة لانتشار الموجات الرادارية، الطبيعة المشتركة للموجات؛ هذه الظاهرة هي الفكرة الأساسية لتصميم رادارات الموجة المستمرة.

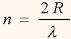
إذا كانت R هي المسافة بين جهاز الرادار والهدف، فإن عدد الموجات n الكاملة التي تغطي المسافة بين الهدف والرادار ذهاباً وإياباً هي:

وحيث إن كل موجة كاملة تمثل تغيراً في زاوية طور الموجة يساوي ، فإنالتغير الكامل

في زاوية الطور j هو:

وإذا كان الهدف في حالة حركة بالنسبة لجهاز الرادار فإن R ,j تكونان في حالة تغير مستمر. تغير الزاوية j بالنسبة للزمن يمثل "السرعة الزاوية" w، وهو في هذه الحالة عبارة عن السرعة الزاوية الدوبلرية wd، وحيث إن السرعة الزاوية  تعرف من العلاقة

فإن تردد دوبلر، التغير في التردد الناتج عن تأثير دوبلر،

حيث f0 هو تردد الموجة المرسلة

وC سرعة انتشار الموجات الكهرومغناطيسية = 3 × 10 8 متر/ث.

من العلاقات السابقة، يتضح أن تردد الموجة المرسلة يتغير نتيجة حركة الهدف، أي أنه إذا كان تردد الموجة المرسلة fo فإن تردد الموجة المستقبلة يكون fo ± fd وهذا الاختلاف يتيح فصل موجات الإرسال عن موجات الاستقبال، كما أنه يوفر معلومات مهمة جدا تميز الأهداف المتحركة عن الأهداف الثابتة، وكذلك توفر معلومة يمكن منها استنتاج سرعة الهدف؛ تستخدم هذه الظاهرة في معظم الرادارات الحديثة، وخاصة في الرادارات المحمولة جوّاً المختصة بتوجيه أسلحة الطائرة أو بالمراقبة والتصوير الأرضي.

(اُنظر شكل رسم لرادار موجة مستمر)؛ المرسل يولد ذبذبات مستمرة، غير معدلة، ترددها f0، ويقوم الهوائي بإشعاعها في الفضاء المحيط به؛ جزء من الطاقة المرسلة يرتطم بسطح الهدف، ويرتد في اتجاه جهاز الرادار،إذ يقوم الهوائي بتجميع الطاقة المرتدة.

إذا كان الهدف في حالة حركة بسرعة vr بالنسبة لجهاز الرادار، فإن تردد الإشارات المستقبلة سيتغير بقيمة تردد دوبلر fd أي أن:

fr = fo ± fd

حيث fr هو تردد الإشارة المستقبلة؛ fo تردد الإشارة المرسلة و ± fd التغير في التردد المرسل؛ الإشارة الموجبة تعبر عن حالة الهدف الذي يتحرك مقترباً من جهاز الرادار، والإشارة السالبة تعبر عن حالة الهدف الذي يتحرك مبتعداً عن الهدف.

المازح أو الكاشف يقارن بين تردد عينة من الإشارة المرسلة، وتردد الإشارة المستقبلة، ويستنتج قيمة تردد دوبلر وإشارته؛ تكبر الموجة الجديدة التي ترددها ± fd في وحدة التكبير، إلى المستوى الذي يلائم عمل المبين؛ المبين قد يكون سماعة تعطي صفيراً، تتناسب حدته مع تردد دوبلر، أو قد يكون جهازاً لقياس التردد، تعرف بواسطته قيمة تردد دوبلر بدقة مناسبة[3].

الرسم الوظائفي السابق يعبر عن جهاز رادار بسيط، يمكن زيادة مقدرته على استقبال إشارات أضعف، رفع حساسيته، باستخدام الاستقبال السوبر هترودايني، الذي يتيح إمكانية الحصول على معاملات تكبير أكبر، ومقدرة أدق على التوليف، وعلى عزل موجات الإرسال عن موجات الاستقبال. (اُنظر شكل رادار موجة مستمرة)

جهاز رادار الموجة المستمرة، لا يوفر معلومة تدل على مدى الأهداف المكتشفة، ولذلك تم تصميم رادار موجة مستمرة، معدلة تردديّاً Frequency modulated Cw، إذ يتغير تردد الموجة المستمرة بصفة دورية مع الزمن. (اُنظر شكل تغير تردد المرسل)؛ الشكل البياني، الخط المستمر يوضح الموجة المرسلة، بينما الخط المتقطع يوضح تغير تردد الموجة المستقبلة، (اُنظر شكل العلاقة الزمنية لتردد الإيقاع) beat frequency الناتج من مزج عينة من الإشارة المرسلة، مع الإشارة المستقبلة، حيث إن الفارق بين الترددين يكون ثابتاً بالنسبة للهدف الثابت، ويساوي fb؛ هذه القيمة تنعدم عند لحظات انقلاب اتجاه تغير التردد مع الزمن؛ معدل تكرار تردد الإيقاع يعبر عن مسافة الهدف من جهاز الرادار، هذا النوع من الرادار يستخدم كمقياس للارتفاع Altimeter، إذ يوفر للطيار معلومة تعبر عن ارتفاع الطائرة باستمرار عن سطح الأرض.

2. رادار دوبلر النبضي Pulsed Doppler Radar

تغير تردد الموجة الرادارية نتيجة للحركة النسبية بين الهدف والرادار، يمكن استخدامه لتمييز الأهداف المتحركة من الأهداف الثابتة في الرادارات النبضية، ورادارات الموجة المستمرة، ولكن يمكن أن يثار السؤال التالي: لماذا يجب زيادة درجة تعقيد الرادار النبضي، بالتعامل مع تغيرات التردد، لتمييز الأهداف المتحركة، علماً بأن الرادار النبضي يحدد مدى الهدف ووضعه الزاوي من نبضة إلى أخرى، وبذلك يتم الحكم على تحرك الهدف إذا تغيرت هذه المعلومات؟ وهذا حقيقي إذا كان الهدف من استغلال المعلومات المتاحة من تغير التردد هو فقط اكتشاف الأهداف المتحركة فقط، ولكن هذه المعلومات تفيد، أيضاً، في اكتشاف الأهداف المتحركة في وجود صدى مرتد من الأهداف الثابتة، تزيد قيمته كثيراً عن الإشارات المرتدة من الأهداف، وهذه المهمة لا يمكن تحقيقها بواسطة الرادار النبضي العادي.

تردد الإشارات المرتدة من الأهداف الثابتة لا يحدث لها أي اختلاف، بينما يتغير تردد تلك المرتدة من هدف متحرك بسرعة v بتردد دوبلر حيث

حيث » تردد الموجة المرسلة؛ رادار دوبلر النبضي يعتمد في تنفيذ مهامه على المبدأ نفسه المستخدم في رادار اكتشاف الأهداف المتحركة MTI، ولكن مصطلح "رادار اكتشاف الأهداف المتحركة " يستخدم للدلالة على نوعية من الرادارات التي تعتني تماماً بالتحديد الواضح للمدى unambiguous range، ويأتي قياس التردد في المرتبة الثانية Ambiguous Frequency measurement وهذا يؤدي إلى ظهور السرعات العمياء في حيز السرعات المنوط بجهاز الرادار اكتشافها، بينما رادار دوبلر النبضي يهتم في المقام الأول بالقياس الواضح للسرعة Unambiguous Frequency shift measurent وهذا يقضى على ظاهرة السرعات العمياء، ويأتي في المقام الثاني وضوح قياس المدى.

(اُنظر شكل رادار اكتشاف الأهداف المتحركة)، وهو يتكون من وحدة إرسال، ووحدة استقبال، ووحدة بيان، والهوائيات اللازمة للإرسال والاستقبال. بصفة عامة يمكن تحويل رادار الموجة المستمرة إلى رادار نبضي، (اُنظر رادار دوبلر نبضي)، وذلك بتزويده بمكبر ذي قدرة عالية، ومعدل نبضي، يتولي تشغيل وإيقاف مكبر القدرة، طبقاً لمواقيت محددة، فينتج نبضات من الذبذبات ذات التردد العالي؛ هذا الرادار يختلف عن الرادار النبضي العادي في كون جزء من الإشارة المرسلة، يذهب إلى وحدة الاستقبال، ليكون الإشارة المرجعية التي تقارن بها الإشارة المرتدة، ومن هذه المقارنة يتم استنتاج الاختلاف في تردد الموجة المرسلة، وهو الاختلاف الناتج عن وجود حركة نسبية بين الهدف والرادار.

يتميز رادار دوبلر النبضي بصفة أو أكثر من الصفات الآتية

1. مجموعة من بوابات المسافة range gates، ومجموعة من مرشحات لترددات دوبلر.

2. دائر إرسال تستخدم صمام كلايسترون كمكبر، نظراً لثبات تردده.

3. تردد تكرار نبضي عالٍ نسبيّاً لتجنب السرعات العمياء، وفي المقابل قد يحدث عدم وضوح في قياس مدى الأهداف.

عدم وضوح عملية قياس مدى الأهداف الناتجة عن زيادة معدل تكرار النبضات في رادار دوبلر النبضي، يمكن معالجته بتغيير معدل التكرار من قطار نبضي لآخر، فإذا كان مدى الهدف غير واضح بالنسبة لمعدل التكرار الأول، فمن المؤكد أنه سيكون واضحاً بالنسبة لمعدل التكرار الثاني.

رادار اكتشاف الأهداف المتحركة ذو الموجة المستمرة، يستخدم هوائيين أحدهما للإرسال، والثاني للاستقبال، كما يجب أن يظل جهاز الاستقبال عاملاً دائماً، ولا يتوقف عن العمل حتى في فترات الإرسال، وهذا يؤدي إلى إمكانية تعرض جهاز الاستقبال للتلف، من تأثير تسرب القدرة العالية للإرسال إلى دوائر الاستقبال الحساسة، أو تصنيع جهاز الاستقبال بمواصفات خاصة مما يرفع من تكلفة جهاز الرادار كثيراً. في المقابل رادار دوبلر النبضي يستخدم هوائيّاً واحداً للإرسال والاستقبال، ويتم عزل جهاز الاستقبال أثناء فترات الإرسال لحمايته، ولكن قياس الاختلاف في التردد، والاستفادة من المعلومات المرتبطة بذلك يستدعي استخدام دوائر إلكترونية ذات درجة أعلي من التعقيد.

3. اكتشاف الأهداف المتحركة من فوق منصة متحركة

عندما يعمل جهاز الرادار من فوق منصة متحركة مثل الطائرة أو السفينة، فإن اكتشاف الأهداف المتحركة، والتمييز بينها وبين الأهداف الثابتة يصبح أكثر صعوبة، حيث إنه من وجهة نظر جهاز الرادار تكون الأهداف الأرضية الثابتة متحركة بالنسبة لجهاز الرادار، بسرعة تساوي سرعة جهاز الرادار بالنسبة لسطح الأرض، وحيث إن سرعة الطائرة أو السفينة ليست ثابتة فإن سرعة الأهداف الأرضية الثابتة، تكون متغيرة هي الأخرى بالنسبة للرادار.

لتجنب الانعكاسات الضارة من الظواهر الأرضية الثابتة المختلفة يلزم استخدام مرشحات خاصة، تلغي الأهداف التي تتحرك بالنسبة للرادار المحمول بسرعة معينة؛ هذا الأسلوب قد يؤتي نتائج مرضية، إذا كان الرادار محمولاً على سطح سفينة، ويراقب طائرات تتحرك على ارتفاع منخفض، حيث أن تردد دوبلر للطائرات يختلف اختلافاً كبيراً عن تردد دوبلر لسطح البحر بالنسبة للسفينة، الفارق بين السرعة النسبية للطائرة وسطح البحر، وكلاهما مقاس بالنسبة لسرعة السفينة، فارق كبير يؤدي إلى اختلاف كبير في ترددات دوبلر؛ العكس ليس بسيطاً حيث إن الفرق بين سرعة السفينة، وسرعة سطح البحر بالنسبة للطائرة ليس كبيراً، وتردد دوبلر الناتج من كليهما سيكون متقارباً.

لتغلب على هذه المشكلة، التي تواجه الرادارات المحمولة، جوّاً سواء كانت رادارات للبحث والإنذار، مثل رادارات الأواكس الشهيرة، التي من مهامها اكتشاف الطائرات المعادية، التي تطير على ارتفاعات منخفضة، أو كانت رادارات لقيادة الأسلحة المحمولة جوّاً، أو رادارات توجيه الصواريخ المحمولة جوّاً؛ جميع هذه الرادارات المذكورة، مطلوب منها اكتشاف الأهداف المتحركة، والتمييز بينها وبين الأهداف الثابتة، التي تكون خلفية المشهد الراداري، والتي تتحرك بسرعة نسبية كبيرة، سرعتها النسبية تساوي سرعة الطائرة التي تحمل الرادار؛ للتغلب على هذه المشكلة، تولد إشارة محلية من مذبذب محلي يكون ترددها fac مساوياً لتردد دوبلر، الذي ينتج من انعكاس الموجات الرادارية، من على سطح الخلفية الرادارية، التي تتحرك بسرعة نسبية تساوي السرعة النسبية للطائرة حاملة الرادار؛ هذا التردد يقارن مع تردد الإشارات المرتدة من جهاز الرادار لإلغاء الترددات المطابقة له، ويبقى فقط الترددات الناتجة من أهداف تتحرك بسرعات مخالفة للسرعة النسبية للخلفية، (اُنظر شكل رادار دوبلر محمول جوا).

خامسا: رادارات خاصة

1. الرادار الملليمتري

يقع تردد الرادار الملليمتري، في الحيز الترددي من 30 إلى 300 جيجاهرتز[4]  وهذا يناظر حيز الطول الموجي من 1 إلى 10 مم؛ هذا الحيز يقع أعلى من حيز الموجات المتناهية القصر، وأدنى من حيز الموجات الكهروبصرية.

تتميز الرادارات العاملة في هذا الحيز، بمقدرة أعلى في التمييز الزاوي، مقارنة بالرادارات التي تعمل في الحيزات الأقل تردداً، كما أن لها القدرة على النفاذ من خلال الأتربة العالقة في الجو، والأدخنة، وبعض الأبخرة، مقارنة بالأشعة دون الحمراء الأعلى تردداً.

العيب الرئيس للعمل في الحيز الملليمتري، هو قصر مدى الكشف لهذه الرادارات، نظراً للتوهين الكبير، الذي تعاني منه الموجات الملليمترية أثناء انتشارها في طبقات الجو السفلي؛ (اُنظر جدول توهين الموجات الملليمترية)، يوضح نسب الفقد التي تعاني منها الموجات الملليمترية، ويلاحظ من الجدول ارتفاع معامل التوهين للموجات الملليمترية مع زيادة ترددها.

مما سبق يتضح أن أهم الظواهر التي تتحكم في استخدام الرادارات الملليمترية، هو التوهين الذي تتعرض له الموجات الرادارية أثناء انتشارها، (اُنظر شكل توهين الموجات الملليمترية)، من المنحني نلاحظ أنه في حيز الترددات الملليمترية، توجد ترددات معينة يصلح العمل عندها، نظراً للانخفاض النسبي لمعامل التوهين أثناء الانتشار خلال الغلاف الجوي السفلي، ويطلق علي هذه الحيزات المناسبة "نوافذ العمل" operation windows، وهي موجودة حول الترددات 35 – 94 – 140 – 220 جيجاهرتز.

إضافة إلى ميزة التمييز الزاوي العالية للرادارات الملليمترية، يؤدي ارتفاع التردد إلى إمكانية استخدام مكونات صغيرة الحجم، وخفيفة الوزن، وتحقق الأداء المطلوب، فعلي سبيل المثال يمكن استخدام هوائي قطر العاكس فيه 6 بوصات، عند التردد 35 جيجاهرتز، للحصول على نموذج إشعاعي زاويته 1.5 درجة، ومثل هذا الرادار مناسب لاستخدامه كعنصر استشعار مركب في رأس صاروخ، قادر على تتبع الأهداف؛ هذا الأداء لا يمكن الحصول عليه عند ترددات أقل.

تستخدم الرادارات الملليمترية بصفة أساسية لتوجيه الأسلحة والصواريخ، في الحالات التي يكون مدى التوجيه لا يتعدى (15 – 20) كم، مع استخدام قدرة الإرسال التي تناسب معاملات التوهين العالية، التي تتعرض لها الموجات الملليمترية، فإنه لتحقيق مدى اكتشاف 10 أميال بحرية بواسطة رادار ملليمتري يعمل عند التردد 35 جيجاهرتز، يجب تصميمه ليكون مدي اكتشافه 12 ميل بحري في حالة إهمال التوهين الجوي، وإذا كان الرادار يعمل عند التردد 140 جيجاهرتز فيجب تصميمه ليكون مدى اكتشافه 45 ميلاً بحريّاً.

2. الرادار ثنائي الموقع Bistatic Radar

الرادار ثنائي الموقع، هو جهاز رادار تكون وحدة إرساله في موقع، يبعد عن وحدة استقباله، ومن أمثلة هذه النوعية من الرادارات، رادار توجيه الصواريخ نصف الإيجابية Semi - active guidance. في هذا النظام يتم إضاءة الهدف، بواسطة رادار تتبع معين، ويستقبل جهاز استقبال راداري خاص مركب في رأس الصاروخ الموجة المرتدة من الهدف، ويقوم باستخلاص المعلومات الضرورية لتوجيه الصاروخ، ولا يوجد أي قيد على موقع رادار إضاءة الهدف، أو المستقبل الموجود في رأس الصاروخ، سوى توافر خط الرؤية المباشرة بين الهدف وبين كل منهما على حدة. استخدام الرادار ثنائي الموقع في التوجيه نصف الإيجابي، جعل من الممكن الاستغناء عن وضع المرسل الراداري، ثقيل الوزن، في رأس الصاروخ، بما يمثل عبئاً إضافيّاً على محركات دفع الصاروخ، وكذلك وفراً في تكلفة الصاروخ، لأن جميع المعدات المركبة على متن الصاروخ تدمر مع انفجار الصاروخ.

من مميزات استخدام الرادار ثنائي الموقع، أيضاً، تجنب تسرب القدرة العالية من وحدة الإرسال إلى وحدة الاستقبال في حالة عملها من موقع واحد، والاضطرار إلى استخدام حلول مكلفة لعزل المرسل والمستقبل، وخاصة في حالة استخدام رادار موجة مستمرة أو رادار له فترات إرسال طويلة نسبيّاً.

تعد أهم ميزة لاستخدام الرادار ثنائي الموقع، مقاومته للأعمال الإلكترونية المضادة، الإعاقة الإلكترونية، حيث إن القوات المعادية قادرة على استقبال الإشعاع الناتج من جهاز الإرسال الراداري الصديق، واستخدام إمكانات إلكترونية خاصة لتحديد موقعه، والتردد الذي يستخدمه، ثم يستخدم هذه المعلومات لتوجيه طاقة كهرومغناطيسية بقدرات عالية، إلى موقع الرادار، في هذه الحالة موقع الإرسال فقط ، بغرض الإقلال من درجة أداء وحدة استقبال جهاز الرادار، لا يمكن للعدو اكتشاف موقع جهاز الاستقبال؛ لأنه لا يصدر عنه إشعاع كهرومغناطيسي؛ نتيجة لعدم وجود جهاز الاستقبال في نفس موقع جهاز الإرسال، فإنه لا يتأثر بتداخل العدو ويظل يعمل بدرجة الكفاءة نفسها.

المشكلة الرئيسة التي تواجه الرادار ثنائي الموقع، هي أسلوب تحقيق التزامن بين عمل المرسل والمستقبل[5].  وليتم ذلك، يجب توصيل نبضة التزامن، المنتجة في وحدة التزامن الموجودة في جهاز الإرسال، إلى جهاز الاستقبال البعيد، ويمكن أن يتم ذلك بواسطة وصلة لنقل المعلومات، مع إضافة تأخير زمني مناسب لنبضة التزامن قبل أن تؤدي عملها في جهاز الإرسال؛ هذا التأخير الزمني المناسب يخصص لتعويض الزمن الذي تستغرقه نبضة التزامن للانتشار من موقع الإرسال إلى موقع الاستقبال.

3. رادار كشف ما وراء الأفق Over - the - Horizon (OTH ) Radar

يتيح رادار كشف ما وراء الأفق احتمال اكتشاف أهداف سطحية، أو قرب سطح الأرض، يصل مداها من 3000 إلى 4000 كم، وهو مدى يزيد على عشرة أضعاف المدى الطبيعي للرادارات العاملة في حيز الموجات متناهية القصر. ورادارات كشف ما وراء الأفق التي تستخدم الموجات السماوية Sky wave تنظر إلى الأهداف، بالطريقة نفسها التي ينظر بها الرادار المحمول جوّاً إلى أهدافه، وهذا يجعل من العسير للأهداف الاختفاء خلف الظواهر الأرضية، بالطيران على ارتفاعات منخفضة، ولذلك فهي مناسبة جدّاً لتحقيق أغراض الإنذار المبكر ضد الهجمات الجوية أو الهجمات الصاروخية، والعمل على تدميرها مبكراً وبعيداً عن المناطق الحيوية.

تعمل هذه النوعية من الرادارات عند الترددات العالية (3ـ30) ميجاهرتز[6] و يوجد نوعان من هذا الرادار:

أ. النوع الأول يستخدم الموجات السماوية، (اُنظر شكل انتشار الموجات السماوية)، ويعتمد على ظاهرة انكسار Refraction الموجات الكهرومغنطيسية، أثناء اختراقها طبقات الجو المختلفة، و تكرار الانكسار حتى تتعدى زاوية سقوطها الزاوية الحرجة، فتنعكس مرة أخرى في اتجاه سطح الأرض، وتصطدم أثناء المسار الهابط بسطح الهدف، فتنعكس مرة أخرى متخذة المسار نفسه، عائدة إلى موقع جهاز الرادار؛ هذا النوع يحقق مدى اكتشاف يبدأ من 1000 كم حتى 4000 كم؛ المنطقة الواقعة بين جهاز الرادار، ونقطة تبعد حتى 1000 كم، لا يمكن للرادار اكتشاف أي أهداف فيها، ويطلق عليها المنطقة "العمياء " Blind zone.

ب. النوع الثاني يستخدم الموجات السطحية، ويعتمد على ظاهرة حيود، انحراف، الموجات الكهرومغناطيسية، أي اتخاذها مساراً منحنياً بدلاً من الانتشار في خطوط مستقيمة؛ هذا الانحناء يؤدي إلى تتبع الموجة الرادارية لانحناء سطح الأرض، واحتمال اكتشاف أهداف لا يوجد بينها وبين جهاز الرادار، خط رؤية مباشرة؛ يصل أقصى مدى اكتشاف لهذا النوع من 200 إلى 400 كم، ويمكن أن يستغل لتغطية جزء من المنطقة العمياء لرادار الموجات السماوية.

الأداء غير العادي، ومدى الكشف الكبير، لرادار الموجة السماوية، يجعله راداراً أساسيّاً وحيويّاً في نظام الإنذار، لأي دولة يهمها أن توفر زمن إنذار كبير، وفرصة كبيرة لتدمير أي هجوم يستخدم الصواريخ بعيدة المدى خارج حدودها؛ أداء هذا الرادار يرتبط كثيراً بطبيعة طبقات الإيونوسفير، الذي يتكون من عدة طبقات مشحونة كهربيّاً، ويبدأ وجودها اعتباراً من ارتفاع 60 كم من سطح الأرض وحتى 350 كم منه، وتختلف كثافة الإلكترونات الحرة من طبقة لأخرى اختلافاً كبيراً، كما أن هذه الكثافة تختلف، أيضاً، طبقاً للوقت ليلاً أو نهاراً، وصيفاً أو شتاءً، وتتأثر كثيراً بالنشاط الشمسي؛ الطبقة الأكثر ارتفاعاً، تميز بالرمزf2 وارتفاعها من 250 إلى 350 كم، وتكون درجة تأينها قيمة عظمى خلال ساعات النهار، وكثافة الإلكترونات ليلاً، تكفي لعمل الرادار، ولكن باستخدام تردد أكثر انخفاضاً؛ يتم تحديد منطقة المسؤولية لرادار كشف ما وراء الأفق، بدراسة الظروف الطبيعية لطبقة الإيونوسفير، وتردد الموجة الرادارية، والمسار الهندسي للشعاع الساقط، وزوايا الشعاع الراداري الأفقية والرأسية. العمل في حيز الترددات العالية HF يتطلب حجماً ضخماً للهوائيات، وفي الوقت نفسه، يكون معامل كسب الهوائي صغيراً، مع زيادة في طاقة الضوضاء الخارجية. وحيث إن الهدف من هذا الرادار هو تحقيق مدى اكتشاف بعيد جدّاً، فإنه يلزم استخدام مرسل له قدرة عالية جدّاً.

4. الرادار ذو الهوائي المصفوف

الرادار ذو الهوائي المصفوف هو صاحب افضل أداء في الرادارات الحديثة، وتكلفته أعلى تكلفة بين أنواع أجهزة الرادارالأخرى، وعلى هذا الأساس يجب دائماً المقارنة بين الأداء المطلوب، وتكلفة هذا الأداء، عند دراسة الرادار المناسب وتحديده لكل طبيعة استخدام.

بصفة عامة، فإن الرادار ذو الهوائي المصفوف، يلبي متطلبات يصعب الوفاء بها باستخدام أي تقنية أخرى؛ وهي موجودة بثلاث صور رئيسة:

أ. الهوائيات المصفوفة العملاقة[7] وتستخدم لاكتشاف، وتتبع، وتحديد نقطة الارتطام للصواريخ البالستية بعيدة المدى، ولتتبع سفن الفضاء والأقمار الصناعية.

ب. الهوائيات المصفوفة ذات الحجم التكتيكي، أو الحجم المتوسط، وتستخدم لتخصيص الأهداف، والتتبع، وإضاءة الأهداف، ضمن أنظمة توجيه الصواريخ السطحية المضادة للطائرات Surface to air missile، وكذلك ضمن نظم الرادارات التي تستخدم لاكتشاف وتحديد مواقع مصادر النيران المعادية، الرادارTpQ-36 والرادار TPQ-37.

ج. الهوائيات المصفوفة ذات الحجم المحدود - صف واحد من العناصر أحياناً - وتستخدم عادة لغرض تحديد الارتفاع ضمن نظام الرادار ثلاثي الأبعاد.

نظم الأسلحة التي تحتاج لتتبع العديد من الأهداف في اللحظة نفسها، مجال حرج، ويحتاج إلى استخدام الهوائيات المصفوفة، التي يمكنها تلبية هذا المطلب من خلال مساحة سطحية واحدة، مقارنة بعدد كبير من رادارات التتبع لتنفيذ المهمة نفسها، وتنفذ التتبع بدقة أعلى من رادار التتبع أثناء البحث TWS. الرادار ذو الهوائي المصفوف، يستطيع تغيير زمن إضاءة الهدف Dwell time بما يتناسب مع خطورة الهدف، فيزيد فترة بقاء الشعاع الراداري موجهاً إلى الأهداف الأكثر قرباً، والأشد خطراً، ويقلل من فترة تعرض النموذج الإشعاعي للأهداف الأبعد مدى، والأقل خطراً، ويجنب تعرض الشعاع تماماً للأهداف التي تأكد انعدام أهميتها، وبذلك يكون هناك ترشيد لاستخدام الطاقة المتاحة لجهاز الرادار؛ بأسلوب التحكم نفسه، بواسطة الحاسب الآلي، يمكن توزيع وقت الرادار على تنفيذ مهام مختلفة، من بحث، وتخصيص، وتتبع، وإضاءة للأهداف، وهي وظائف يحتاج الرادار فيها لشكل معين للنموذج الإشعاعي يناسب طبيعة المهمة، وهذا المطلب يستحيل تحقيقه باستخدام الهوائيات التقليدية. أما باستخدام الهوائي المصفوف، واستخدام حاسب آلي للتحكم في زاوية طور الإشارات المغذاة إلى العناصر المختلفة للهوائي، فإنه يمكن في توقيتات معينة، تكوين نموذج إشعاعي أو أكثر، متحدة أو مختلفة الشكل.



[1] دائرة اكتشاف الأهداف المتحركة للرادار ASR- 9   تقسم منطقة العمل إلى 365.000 خلية مسافة-زاوية أفقية (كل 16/1 ميل وكل 4/3 درجة)؛ كل من هذه الخلايا تقسم إلى ثماني خلابا للسرعة ليكون المجموع الكلى للخلايا التي تتعامل معها الدائرة 2.920.000 خلية

[2] الخطأ في تقدير المدى، يحدث عند وصول النبضة المرتدة من الهدف، بعد انطلاق نبضة الإرسال التالية، وينشأ الخطأ نتيجة بدء حساب الزمن المنقضي حتى ارتداد النبضة من بدء انطلاق النبضة الثانية، بدلا من النبضة الأولى المسببة للارتداد فعلا؛ كلما انخفض تردد تكرار النبضات قل احتمال حدوث هذا الخطأ

[3] إذا كانت طائرة تتحرك بسرعة 600 عقدة بالنسبة لجهاز رادار يعمل بطول موجي 10 سم فإن تردد دوبلر الناتج يساوى 6180 ذبذبة في الثانية الواحدة

[4] الجيجاهرتز يساوى 10 6 هرتز

[5] في الرادار التقليدي تستخدم نبضات التزامن الضيقة المنتجة في وحدة التزامن لتحقيق التزامن المباشر بين عمل المرسل والمستقبل

[6] الميجاهرتز يساوى 10 6  هرتز

[7] مصفوفة الرادار Cobra Dane   قطرها 95 قدم وتشمل 15,260 عنصرا إيجابيا